中法核工程与技术学院核数据科学及应用团队在核物理领域发表重要成果
近日,中法核工程与技术学院核数据科学及应用团队在核物理领域权威期刊《Physical Review C》发表重要成果——Shell-model-based investigation on level density of Xe and Ba isotopes。
核数据科学与应用是一门研究核结构与核反应数据、拓展其在核能与核技术领域的应用、链接核基础研究与核技术应用的综合性学科。
原子核能级密度是一种重要的核结构数据,指的是给定激发能量下每单位能量的能级个数,包含了原子在不同激发态下核结构的关键信息,是核反应理论模型的关键输入参数,对反应截面的评估至关重要。原子核的能级密度对于所有有关核应用的研究都十分关键,被核反应堆、加速器和宇宙中的核合成等领域迫切需求,所以可靠的能级密度数据是很有必要的。然而能级密度很难通过实验直接测量,只有个别的能量点或者非常低能量时可以实验给出这个数据。至今为止,大多数评估的能级密度的方法都是采用唯像公式计算,其缺点是每个核的公式参数都不一样,而且规律性也不明显。这样对于实验数据较少的核,也就是大多数原子核,能级密度的评估都有较大的不确定性。
中法核工程与技术学院核数据科学及应用团队基于核子-核子相互作用,在原子核壳模型的框架下微观地计算了Xe和Ba核素等反应堆重要产物的能级密度。
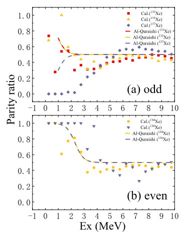
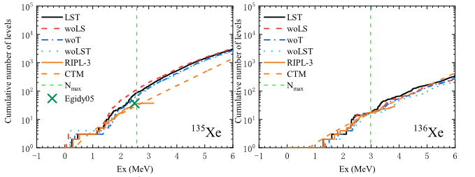
原子核壳模型考虑一个冻结的核芯以及占据特定轨道的价核子,基于核芯对价核子的平均相互作用以及价核子之间的剩余相互作用,构建出薛定谔方程的哈密顿量,原子核的能级个数等同于该哈密顿量矩阵的本征值个数。该工作从一个统一的有效核力出发构建哈密顿量,通过随机统计方法微观地计算了Xe和Ba同位素的能级密度并分析了核力中各分量的贡献。计算得到的133-137Xe和135-138Ba的能级密度结果与实验数据相符合。由于该微观方法不依赖某个核的能级密度,可以用来系统地评估计算原子核的反应截面数据,具有可观的应用前景。
该工作成果近日发表于核物理领域权威期刊《Physical Review C》,袁岑溪副教授、陈胜利助理教授为共同通讯作者,20级硕士生陈进北(学院本硕连读毕业生,将读博深造),21级博士生刘梦兰(学院本硕连读毕业生)为论文共同第一作者,其他合作者来自筑波大学、中国原子能科学研究院等单位。该工作得到广东省基础与应用基础研究基金和重大项目、国家自然科学基金、国家重点研发计划的资助以及中山大学、中国原子能科学研究院、中国核数据中心、以及国家超算广州中心的支持。




以上2图可知,该工作结果与已有的实验结构、经验模型符合得很好。
附:论文及作者信息:Jinbei Chen (陈进北), Menglan Liu (刘梦兰), Cenxi Yuan (袁岑溪), Shengli Chen (陈胜利), Noritaka Shimizu (清水則孝), Xiaodong Sun (孙小东), Ruirui Xu (续瑞瑞), and Yuan Tian (田源), Shell-model-based investigation on level density of Xe and Ba isotopes, Physical Review C 107, 054306.
DOI: 10.1103/PhysRevC.107.054306
论文链接网址:https://journals.aps.org/prc/abstract/10.1103/PhysRevC.107.054306
责编:谭杰
一读:覃大静
初审:曹雁群
复审:林美珍
审核发布:漆小萍
